Disponible el volumen 15-2 de la Gaceta Digital.Ya está disponible la versión electrónica del número 15-2 (2012) de La Gaceta de la Real Sociedad Matemática Española. Se puede consultar en la dirección gaceta.rsme.es. En La Gaceta han decidido dedicar las portadas del primer volumen poscentenario a imágenes relacionadas con la exposición RSME-Imaginary. Presentamos en esta ocasión a nuestros lectores la imagen ganadora de la fase local del concurso RSME-Surfer correspondiente al paso de la exposición por Zaragoza.
Continuando con la idea de dedicar las portadas del primer volumen poscentenario de La Gaceta a imágenes relacionadas con la exposición interactiva RSME-Imaginary, presentamos en esta ocasión a nuestros lectores la imagen ganadora de la fase local del concurso RSME-Surfer correspondiente al paso de la exposición por Zaragoza.
La imagen se llama Panal y su autor es Andrés Ibáñez Núñez, un joven de 15 años que estudia 3.º de ESO en el Colegio Jesús María-El Salvador (conocido coloquialmente como «Jesuitas») de Zaragoza. Además de a tocar el piano y hacer excursiones con un club de montaña de su colegio, Andrés es aficionado a las matemáticas, y en 2011 fue seleccionado para representar a Aragón en la XXII Olimpiada Matemática Española de 2.º de ESO. A raíz de ello se apuntó al Taller de Talento Matemático (TTM) que, coordinado por Fernando de la Cueva (del IES Parque Goya) y Alberto Elduque, se reúne quincenalmente en la Universidad de Zaragoza. Dejamos que Andrés nos explique cómo llegó a realizar la figura:
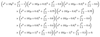
«En su primera sesión, el TTM nos llevó a visitar la exposición RSME-Imaginary. Me sentí muy interesado, por lo que decidí presentarme al concurso. Lo primero que se me ocurrió fue representar un muñeco de nieve por medio de esferas con distintos radios y coordenadas y un cilindro infinito a modo de brazos. Para hacer la segunda imagen, la cual resultó ganadora, pretendía representar una tarta grande con pisos y demás; pero durante el proceso surgió una figura que me sugirió realizar una representación de un panal similar a los de los dibujos animados. La figura está formada por elipsoides de diferentes magnitudes con centro en un mismo eje; el color dorado recuerda a la miel.»
Esta es la ecuación con la que Andrés representó su «panal de dibujos animados» (aunque lo ha inclinado por motivos estéticos):




